Latihan Matematika Wajib Kelas X Sistem Persamaan Linear Tiga Variabel
0 dari 10 soal terjawab
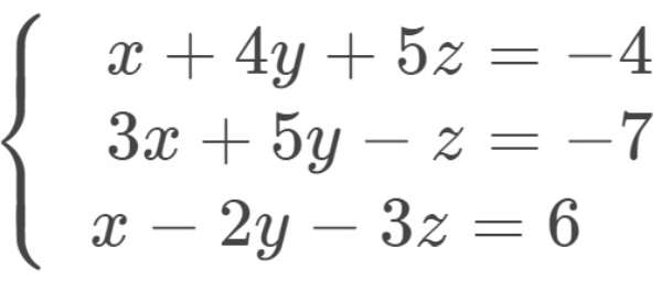
# 3
Pilgan

Himpunan penyelesaian (x,y,z)\left(x,y,z\right) dari sistem persamaan linear tiga variabel berikut

adalah ....

A

HP={(1,3,3)}HP=\left\{\left(1,-3,3\right)\right\}

B

HP={(3,3,1)}HP=\left\{\left(-3,3,1\right)\right\}

C

HP={(1,3,1)}HP=\left\{\left(1,3,1\right)\right\}

D

HP={(3,3,1)}HP=\left\{\left(3,-3,1\right)\right\}

E

HP={(3,1,1)}HP=\left\{\left(3,-1,1\right)\right\}