Langkah-langkah penyelesaian sistem persamaan linear tiga variabel menggunakan metode eliminasi-substitusi adalah sebagai berikut.
Eliminasikan salah satu variabel dari dua persamaan
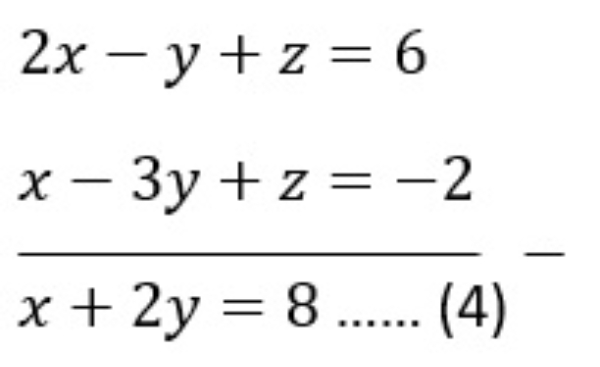
Pada persoalan di atas pilih persamaan (1) dan (2) untuk mengeliminasi variabel z sehingga diperoleh

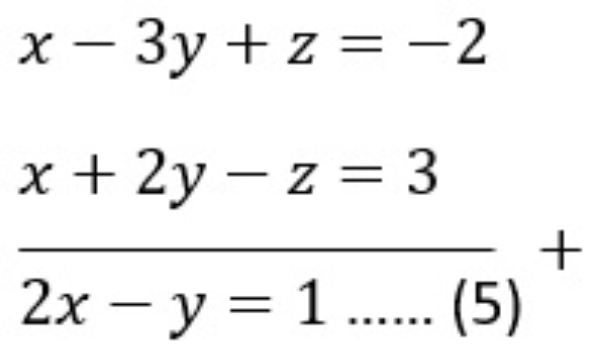
Pilih persamaan (2) dan (3) untuk mengeliminasi variabel z sehingga diperoleh

Selesaikan sistem persamaan linear dua variabel yang diperoleh
Diperoleh sistem persamaan linear dua variabel yaitu

Selesaikan dengan metode eliminasi-substitusi
Proses eliminasi

Proses substitusi
Substitusikan nilai y=3 ke persamaan (4)
x+2y=8
x+2(3)=8
x+6=8
x=2
Substitusikan nilai y=3 dan x=2 ke persamaan (1)
2x−y+z=6
2(2)−3+z=6
4−3+z=6
1+z=6
z=5
Periksa nilai penyelesaian
Pada persamaan (1)
2x−y+z=6
2(2)−3+5=6
4−3+5=6
1+5=6
6=6 (benar)
Pada persamaan (2)
x−3y+z=−2
2−3(3)+5=−2
2−9+5=−2
−2=−2 (benar)
Pada persamaan (3)
x+2y−z=3
2+2(3)−5=3
2+6−5=3
3=3 (benar)
sehingga diperoleh penyelesaian x=2,y=3,z=5 atau HP={(2,3,5)}