Latihan Matematika Wajib Kelas XI Aplikasi Program Linear (Masalah Optimasi)
1 dari 10 soal terjawab
Kumpulkan
# 1
Pilgan

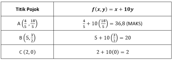
Nilai maksimum dari f(x,y)=x+10yf\left(x,y\right)=x+10y pada daerah 3x+y6; x+2y8;3x+y\ge6;\ x+2y\le8; dan x2y2x-2y\le2 adalah ....

A

58,8

B

48,8

C

2

D

36,8

E

20

1 2 3 4 5 6 7 8 9 10