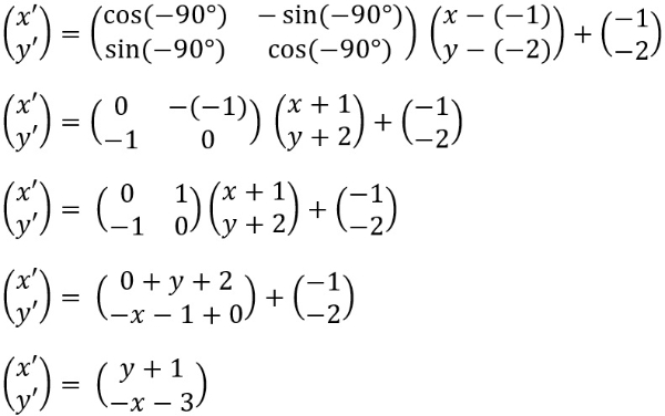
Diketahui lingkaran LLL berpusat di titik (−4,1)\left(-4,1\right)(−4,1) dan melalui titik (1,2)\left(1,2\right)(1,2). Jika lingkaran LLL diputar terhadap titik (−1,−2)\left(-1,-2\right)(−1,−2) searah jarum jam sejauh 90°90\degree90° maka lingkaran L′L'L′ yang dihasilkan adalah ....
x2+y2−4x−2y=21x^2+y^2-4x-2y=21x2+y2−4x−2y=21
x2+y2−2x+y=12x^2+y^2-2x+y=12x2+y2−2x+y=12
x2+y2+4x−2y=21x^2+y^2+4x-2y=21x2+y2+4x−2y=21
x2+y2−3x−4y=5x^2+y^2-3x-4y=5x2+y2−3x−4y=5
x2+y2−x−4y=9x^2+y^2-x-4y=9x2+y2−x−4y=9